geosciencebigpicture
Exploring the human situation from the broadest perspective and trying to make reading science fun.
Skip to content
Home
About
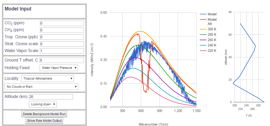
Modtran Water only vs CO2 only 20 km
By
gymnosperm
|
Published
March 29, 2016
|
Full size is
1062 × 494
pixels
GISS Anomaly by Altitude and LBLRTM Cooling
180 v 10Be
Bookmark the
permalink
.
Leave a comment
Cancel reply
Δ
This site uses Akismet to reduce spam.
Learn how your comment data is processed.
Privacy & Cookies: This site uses cookies. By continuing to use this website, you agree to their use.
To find out more, including how to control cookies, see here:
Cookie Policy
Comment
Subscribe
Subscribed
geosciencebigpicture
Join 67 other subscribers
Sign me up
Already have a WordPress.com account?
Log in now.
geosciencebigpicture
Subscribe
Subscribed
Sign up
Log in
Copy shortlink
Report this content
View post in Reader
Manage subscriptions
Collapse this bar